методів вимірювання тиску.
Прилади і матеріали: Тверде
тіло (дерев’яний брусок правильної
геометричної форми), штатив плоска поверхня, динамометр, лінійка або мірна
стрічка.
Правила безпеки:
Користуйтеся обладнанням
та вимірювальними приладами відповідно до інструкцій та вказівок вчителя. Будьте
обережні під час зважування тіла за допомогою динамометра, щоб не пошкодити
обладнання під час експерименту, уникайте його падіння. Переконайтеся, що
опорна поверхня та обладнання є стійкими та не схильними до перекидання.
Теоретичні відомості:
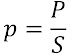
Тиск - це фізична величина,
яка визначається силою, з якою тіло діє на площину. Вимірюється в паскалях (Па)
або, у системі СІ, в ньютонах на квадратний метр (Н/м²).
Коли тверде тіло
розташоване на опорі, воно діє на опорну поверхню силою, відомою як вага. Вага
тіла рівна силі тяжіння, і вона розподіляється на всю площу контакту між тілом
і опорою. Це призводить до тиску, який можна визначити як відношення ваги тіла P до площі S.
Хід роботи.
1.
Помістіть тверде тіло на закріплену горизонтальну
поверхню (наприклад поверхню парти) так, щоб воно не ковзало.
2.
Закріпіть динамометр за допомогою лапки штатива у
вертикальному положенні.
3. За допомогою динамометра визначте вагу твердого тіла P та запишіть значення ваги твердого тіла у таблицю.
|
№ |
P, Н |
a, м |
b, м |
h, м |
S, м2 |
p, Па |
|
1. |
|
|
|
|
|
|
|
2. |
|
|
|
|
|
|
|
3. |
|
|
|
|
|
|
4. За допомогою лінійки або мірної стрічки виміряйте
довжину а, ширину b та висоту h бруска. Результати вимірювання довжини сторін дерев’яного бруска запишіть до таблиці.
5.
Покладіть дерев’яний брусок на горизонтальну поверхню так, щоб він
торкався поверхні сторонами a та b.
6.
Обчисліть площу поверхні бруска, якою брусок контактує з
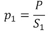
поверхнею за формулою S1=a·b. Результат обчислень
площі запишіть до таблиці.
7. Обчисліть значення величини тиску, з яким брусок діє на поверхню за формулою
Результат обчислення значення величини тиску запишіть у
таблицю.
8.
Покладіть дерев’яний брусок на горизонтальну поверхню так, щоб він
торкався поверхні сторонами a та h.
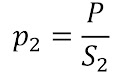
9. Обчисліть площу поверхні бруска, якою брусок контактує з поверхнею за формулою S2=a·h. Результат обчислень площі запишіть до таблиці.
10. Обчисліть значення величини тиску, з яким брусок діє на поверхню за формулою
13. Обчисліть площу поверхні бруска, якою брусок контактує з поверхнею за формулою S3=b·h. Результат обчислень площі запишіть до таблиці.
Обчисліть значення величини тиску, з яким брусок діє на поверхню за формулою
15.
Порівняйте обчислені значення величини сили тиску дерев’яного бруска на горизонтальну поверхню та зробіть
висновок про залежність величини тиску від площі поверхні тіла, яке діє на
горизонтальну поверхню.
___________________________________________________________________________________________________________________________________________________________________________________________________________________________________________________________________________________________________________________________________________________________________
Завдання для обговорення:
·
Як зміниться тиск, якщо змінити
площу контакту між твердим тілом та опорою?
·
Які фактори можуть впливати на
точність вимірювань тиску?
Додаткове експериментальне завдання
На основі відмальованого відбитка стопи і інформації про масу власного тіла, запропонуйте спосіб визначення тиску людини на поверхню, обчисліть його наближене значення. Підказка за покликанням : https://www.youtube.com/watch?v=BteWfoN3Rno&t=43s
Запитання для рефлексії
діяльності учнів:
1.
Які
труднощі ви зустріли під час експерименту?
2.
Чи
відповідали ваші результати очікуванням?
3.
Чому
ви навчилися в ході лабораторної роботи?
4.
Як
здобуті знання можна застосувати у реальному житті?
Звернувшись до
додаткових джерел інформації (ChatGPT, Googlе) з’ясуйте:
1.
Які
фактори можуть впливати на точність вимірювань тиску в експерименті?
2.
Які
методи вимірювання тиску можуть бути використані, окрім ваг та динамометра?
3.
Як
можна застосовувати здобуті знання з вимірювання тиску у повсякденному житті?














Немає коментарів:
Дописати коментар